International Journal of Innovative Research in Medical Science
Vol. 7 No. 05 (2022)
Issue 7(05) 2022
May 1, 20228 ArticleseISSN: 2455-8737
Volume 7 · Issue 05
Published: May 1, 2022
Open AccessReview Article
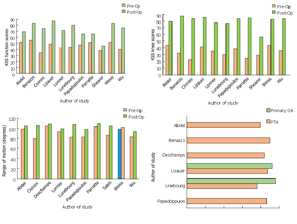
Total Knee Arthroplasty for Treatment of Post-Traumatic Arthritis: Systematic Review
Meshari Musaad Almalki, Ahmed Atiah Alsalmi, Emad Ruddah Alsufyani, Tayyab Ahmad
International Journal of Innovative Research in Medical Science·May 16, 2022
Open AccessReview Article
Accuracy of Different Shoulder Scan Examination for Diagnosis of Rotator Cuff Pathologies: A Systematic and Meta-Analysis Review
Emad Ruddah Alsufyani, Tayyab Ahmad, Meshari Musaad Almalki, Ahmed Atiah Alsalmi
International Journal of Innovative Research in Medical Science·May 16, 2022
Open AccessReview Article
Effectiveness of Thicker Hamstring or Patella Tendon Grafts to Reduce Graft Failure Rate in Anterior Cruciate Ligament Reconstruction: A Systematic Review
Ahmed Atiah Alsalmi, Meshari Musaad Almalki, Emad Ruddah Alsufyani, Tayyab Ahmad
International Journal of Innovative Research in Medical Science·May 16, 2022
Open AccessCase Report
Laparoendoscopic Single-Site Hysterectomy in a Morbidly Obese Patient with a Large Uterus: Case Report
Eunice MX Tan, Wei-An Goh, Ravichandran Nadarajah (MRCOG)
International Journal of Innovative Research in Medical Science·May 16, 2022
Open AccessOriginal Article
Anemia as a Predictor of Transient Pacemaker Dependency After TAVI
Mustafa Jaber, Haitham Abu Khadija, Nicholay Teodorovich, Omar Ayyad, Gera Gendelman, Lion Poles, Rafeal Diamante, Moshe Swissa, Jacob George, Alex Blatt
International Journal of Innovative Research in Medical Science·May 16, 2022
Open AccessCase Report
Laryngeal Papillomatosis: A Case Report
Nadia. Mebrouk, Sara Benchidmi, Naima El Hafidi, Fadoua Benbrahim, Ghizlane Jaabouti, Najat. Lamalmi, Ali Ayoubi, Soumia Benchekroun, Chafiq Mahraoui
International Journal of Innovative Research in Medical Science·May 30, 2022
Open AccessCase Report
Post COVID-19 Multisystemic Inflammatory Syndrome Revealed by Seizures: A Case Report
Nadia Mebrouk, Yasmine Lachkar, Aziza Bentalha, Latifa Chat, Yamna Kriouile, Asmaa Mdaghri Alaoui
International Journal of Innovative Research in Medical Science·May 30, 2022
Open AccessOriginal Article
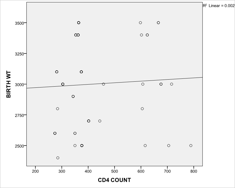
Congenital and Placenta Malaria and Newborn Birth Weight in Asymptomatic HIV Positive Pregnant Women at Term
Taiwo O. Kuku-Kuye, Oluwaseun O. Orekoya, Adetokunbo O. Fabamwo, Oluwarotimi I. Akinola, Ayokunle M. Olumodeji
International Journal of Innovative Research in Medical Science·May 30, 2022
