International Journal of Innovative Research in Medical Science
Vol. 4 No. 07 (2019)
Issue 4(07) 2019
July 1, 201913 ArticleseISSN: 2455-8737
Volume 4 · Issue 07
Published: July 1, 2019
Open AccessStudy Protocol
Oral Nutritional Supplementation for the Dietary Management of Malnutrition in Cancer: Study Protocol of A Randomized, Open-Label, Multicentre Clinical Trial
Edit Nadasi, Gellert Cseh
International Journal of Innovative Research in Medical Science·July 10, 2019
Open AccessLetter to the Editor
Increasing Incidence of Hypertension in Females by Nasira, Maryam, Salman, and Rehan (2019)
Alqahtani Ibtesam Mohammed
International Journal of Innovative Research in Medical Science·July 10, 2019
Open AccessLetter to the Editor
Prevalence and Vulnerability to Drug Abuse among Students of High School and Colleges in Riyadh, Saudi Arabia: Cross-Sectional Study by Khadeejeh, Alaa, Nahla, Nourah, Alaa, Beshaier, and Hind (2019)
Alqahtani Jawhrah Mohammed
International Journal of Innovative Research in Medical Science·July 10, 2019
Open AccessOriginal Article
Application of Receiver Operating Characteristic (ROC) Curve to Determine the Diagnostic Ability of A Validated Ten - Item Questionnaire (SS - 10) In Estimating the Prevalence of Sensitive Skin in Hong Kong Population
Kam Tim Michael Chan, Amy Ho Nam Cheung
International Journal of Innovative Research in Medical Science·July 10, 2019
Open AccessOriginal Article
An Evaluation of Malaria Control Practices by Caregivers of Under-5 Children in Calabar South Local Government Area of Cross River State, Nigeria
Agbenin Andrew, Edem A. Akpan
International Journal of Innovative Research in Medical Science·July 10, 2019
Open AccessOriginal Article
Lung Function in Type 1 and Type 2 Diabetes Mellitus
Dr. Srinivas Raju D., Dr. Jagadesha CG
International Journal of Innovative Research in Medical Science·July 15, 2019
Open AccessCase Report
Acute Aortic Dissection and Medullary Ischemia in a Patient with Marfan syndrome
Gustavo Henrique Belarmino Góes, Eugenio Soares de Albuquerque, Diana Patricia Lamprea Sepulveda, José Maria Del Castillo, José Breno de Sousa Filho, Ricardo de Carvalho Lima, Dário Celestino Sobral Filho
International Journal of Innovative Research in Medical Science·July 24, 2019
Open AccessOriginal Article
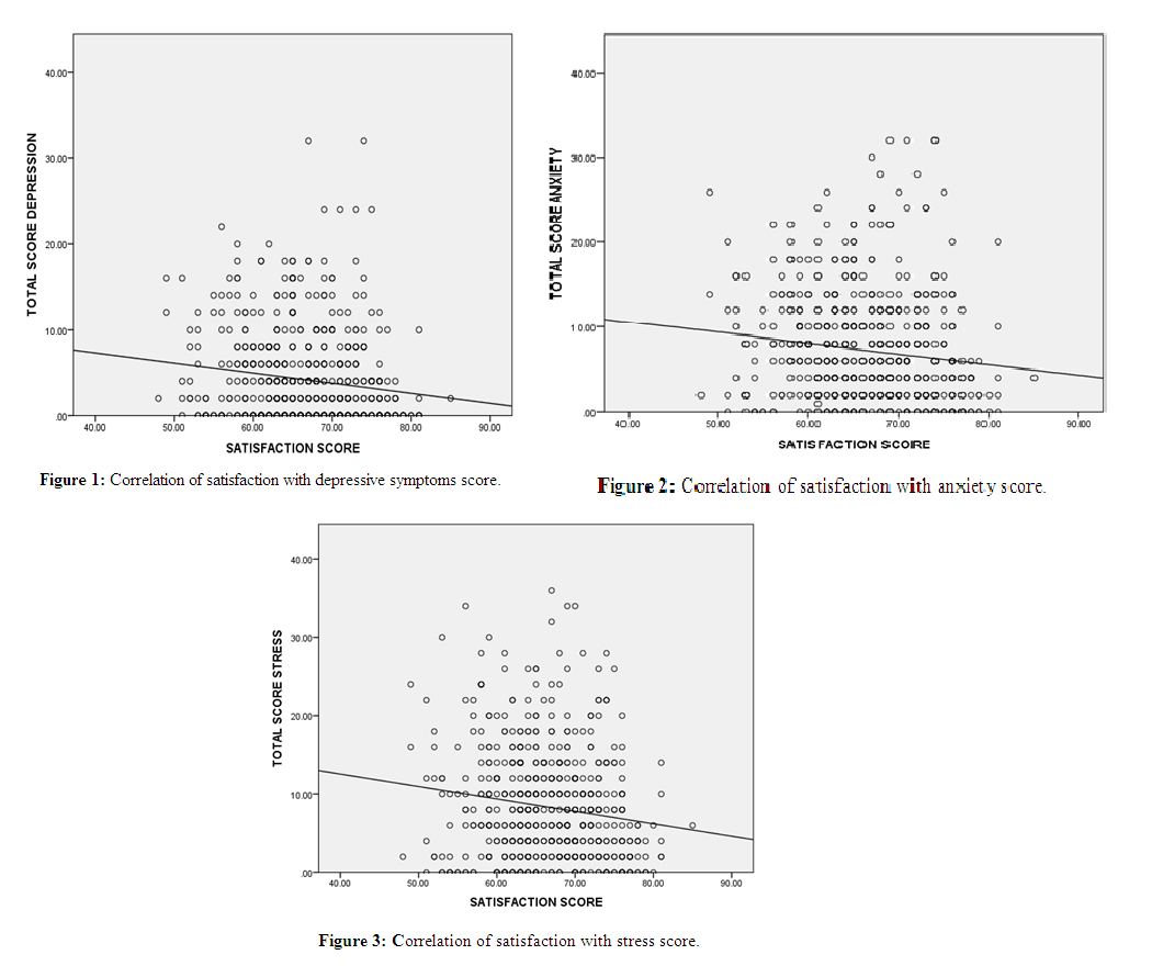
The Correlation of Maternal Childbirth Experience Satisfaction with Postnatal Depression, Anxiety and Stress Scoring
Muna Khaleel Al-kubaisi, Ali S Radeef, Hamizah Ismail
International Journal of Innovative Research in Medical Science·July 24, 2019
Open AccessOriginal Article
The Prevalence and Pattern of Non-Medical Use of Prescription Drugs in Abakaliki, Southeast, Nigeria
Okechukwu B. Anozie, Nwafor I. Johnbosco, Chidi U. Esike, Chukwuemeka I. Ukaegbe, Ifeanyi E. Enyanwuma, Ifediri E. Nwokporo, Richard L. Ewah
International Journal of Innovative Research in Medical Science·July 25, 2019
Open AccessOriginal Article
Assessment of Hearing Following Tympanoplasty - A Hospital Based Study
Deep Jyoti, Aditiya Saraf, Arti .
International Journal of Innovative Research in Medical Science·July 25, 2019
Open AccessOriginal Article
Genetic Determinism in Community Staphylococcus and Methicillin-Resistant Clinics in Brazzaville, Republic of Congo
AHOMBO Gabriel, MOYEN Rachel, BALOKI NGOULOU Tarcisse, KAYATH Aimé Christian, ONTSIRA NGOYI Nina Esther
International Journal of Innovative Research in Medical Science·July 26, 2019
Open AccessOriginal Article
The Effect of Holy Quran Recitation on Clinical Outcomes of Patients Undergoing Weaning from Mechanical Ventilation
Nermine M. Elcokany, Mona Saad Abd El Wareth
International Journal of Innovative Research in Medical Science·July 30, 2019
Open AccessOriginal Article
“Nutritional Habits and Factors Affecting Food Consumption Patterns among Urban Dwellings in Cairo - Egypt”
Nahla Ali Maher Nashaat, Silvia Farouk Shalaby
International Journal of Innovative Research in Medical Science·August 8, 2019
